欢迎来到梅州荣军医院!
小头畸形、癫痫和糖尿病综合征婴儿安全使用生酮饮食:病例报告
2023-09-12 08:38:35 admin

MEDS也称为小头畸形伴简化回旋模式、癫痫和永久性新生儿糖尿病综合征(OMIMID 614,231)[1,2]。 它与先天性小头畸形伴进行性头部生长减速、脑部 MRI 上简化的回旋模式、婴儿癫痫发作(包括婴儿痉挛症)、难治性新生儿糖尿病和严重的整体发育迟缓有关。MEDS是一种常染色体隐性遗传病,由染色体3q1上IER18IP21基因的致病变异引起,该基因编码即时早期反应3相互作用蛋白1(IER3IP1),这是一种在发育中的大脑皮层和β细胞中发现的蛋白质[2]。该基因的双等位基因功能变异导致神经元和β细胞凋亡,导致小头畸形、癫痫和胰岛素减少型糖尿病[2]。阿根廷、摩洛哥和埃及的8例既往报道了MEDS(表 1)[1,2,3,4]。我们提出了一种具有双等位基因IER3IP1变异的先证者,其反式和表型特征与MEDS一致,包括小头畸形、胰岛素减少性糖尿病以及发育性和癫痫性脑病。此外,我们报告了使用类固醇和生酮饮食(KD)来改善癫痫症状,这给管理胰岛素依赖型糖尿病带来了额外的挑战。


表1 迄今为止报告的MEDS患者的临床表现

全尺寸桌子


案例介绍

先证者是在妊娠37周时通过正常的自然阴道分娩出生的,此前有简单的产前病史以及妊娠和分娩。她是一对非血缘关系夫妇的第二个孩子,她的哥哥很健康,发育正常。出生时,生长参数正常(体重2.715公斤,身高50厘米),除了头部大小在第8个百分位数(图)。1). 当她因新发癫痫发作被送往急诊科时,她的新生儿筛查检查和发育在头 2 个月是正常的,并在脑电图 (EEG) 上发现频繁的多发局灶性癫痫发作。磁共振成像显示没有实质信号异常,但确实显示蛛网膜下腔和沿颞凸的双侧小硬膜下湿疹。她的癫痫发作演变为包括婴儿痉挛症和局灶性癫痫发作,脑电图以弥漫性脑病、多发局灶性癫痫样放电和痉挛发作时的高度节律失常为显著特征——与癫痫性脑病一致。作为诊断检查的一部分,多基因癫痫小组被送去(补充表)报告了两种IER3IP1中意义不确定的变异(NM_016097.4)。第一种是c.239T > G(p.Leu80*),是新颖的,预计会因无义介导的衰变而导致蛋白质截断或单倍体功能不全导致功能丧失。第二个,c.2T>A(引发密码子),可能会影响转录,因为它会影响IER3IP1基因的起始密码子。两种变异均符合美国医学遗传学会的致病性标准[5]。根据照顾先证者的遗传学团队的临床建议,对未受影响的父母进行测序,显示c.239T>G(p.Leu80*)的父系遗传和c.2T>A的母系遗传。


图1

图1

Clinical course of proband from birth to 14 months of life


4 个月大时,她因婴儿痉挛症再次入院,并开始服用大剂量类固醇。在此期间,她的血糖从入院前的92毫克/分升增加到出院时的112-241毫克/分升。在服用类固醇期间,她的父母报告说她的一般运动、眼动追踪和痉挛频率都有所改善。出院一周后,由于持续性高血糖(>298 mg/dL)而停用类固醇,尽管使用了多种抗癫痫药物,但癫痫发作频率、持续时间和强度增加。因此,她在 400.4 个月大时再次入院,重新开始类固醇和胰岛素启动,因为她的血糖水平增加到 5-200 mg/dL,与 MEDS 中观察到的 β 细胞功能障碍一致。血糖水平在400.0-35.0单位/ kg / d的胰岛素治疗中恢复正常。她的血糖值通过间歇性扫描连续血糖监测(isCGM)进行监测。

生酮饮食启动

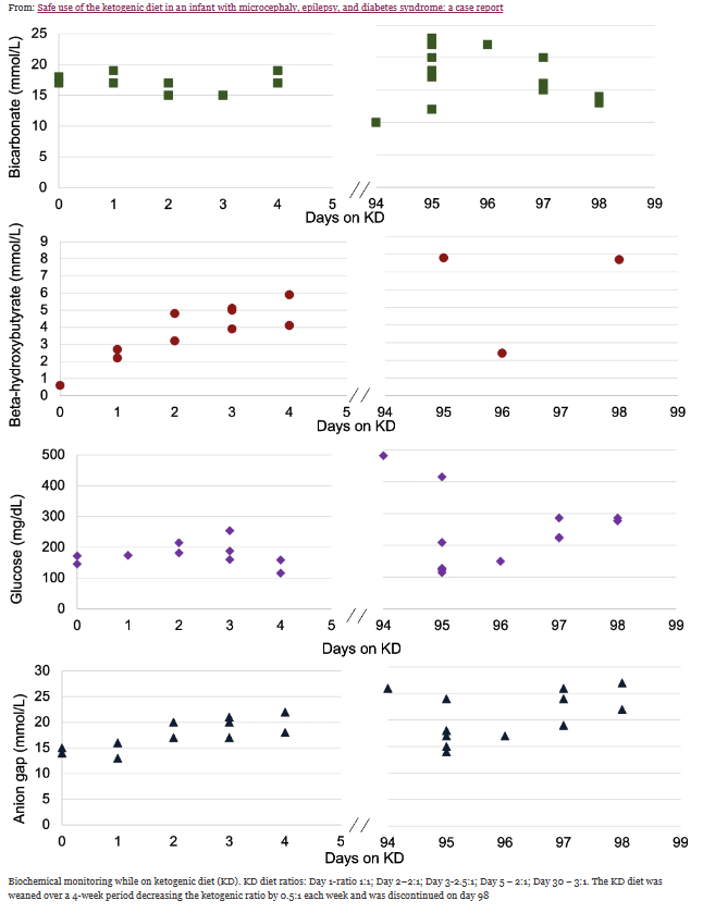
9个月大时,她因治疗难治性癫痫而入院启动KD。入院实验室(最后一次基础剂量后 0 小时)显示轻度酸中毒 [β-羟基丁酸 (BHB) 6.17mmol/L,碳酸氢盐 15mmol/L,阴离子间隙 (AG) 1mmol/L]。决定以比标准协议慢的速度推进KD比率,从1:0的比率开始。鉴于当时胰岛素的每日总剂量较低(01.12单位/千克/天),我们保留了她的胰岛素。每四小时评估一次血糖,每15小时测量一次评估酸中毒的化学小组。目标碳酸氢盐水平≥6mmol/L,这是糖尿病酮症酸中毒(DKA)的诊断标准[3]。由于缺乏针对川崎病和胰岛素减少型糖尿病的既定指南,安全的BHB目标不太明确,因此我们将初始目标BHB水平设定为<6mmol/L,并仔细观察[<>]。

通过出院,她的KD比在三天内优化至2.5:1,而她的生物化学没有显着变化(图)。2). 她每晚重新开始服用甘精胰岛素 0.5 单位,以促进每日安全期以限制生酮。家庭监测包括每日两次毛细血管酮测量和isCGM。出院后不久,由于低血糖(2-1mg / dL),该比率降至60:70。出院一个月后,甘精胰岛素增加到0.5单位,每日两次,由于高血糖,KD比增加到3:1。通过这些变化,她的反应能力和与家人的参与度有所改善,酮体在 3-6 mmol/L 的目标范围内血糖正常。


图2




川崎病开始三个月后,她出现四天的呕吐、腹泻、多尿、高血糖(isCGM 300-400 mg/dL)和酮体增加(8-9mmol/L)。家人联系了她的儿科医生,但由于湿尿布数量众多而感到放心。由于高血糖,甘精胰岛素的逐步增加。由于对胰岛素变化缺乏反应,症状逐渐恶化(眼睛凹陷,嘴唇干裂和临床脱水),她被送往急诊室。发现她患有高渗性 DKA(pH 7.2、尿素 40 mg/dL 和 Na 170mEq/L),需要进行大量液体复苏和胰岛素滴注含葡萄糖的液体。在这个关键时期,试图保持酮症没有被优先考虑。在她的酮症消退后,家人强烈赞成重新开始饮食(比例为3:1)。发作一个月后,她患上了第二种病毒性疾病,导致DKA。尽管父母报告了川崎病的临床益处,但在两次DKA发作后停止了饮食。患者在 4 周内停止饮食,每周将比例降低 0.5:1。

在她最近的一次门诊就诊中,她继续通过胰岛素治疗恢复血糖正常,并且没有伴有临时病毒性疾病的严重酸中毒。她继续有明显的难治性癫痫痉挛,并且与开始川崎病前一样警觉性下降。

讨论和结论

我们介绍了一个婴儿患有MEDS的病例,这是由于使用类固醇和川崎病治疗的IER3IP1和难治性癫痫性脑病中的两种双等位基因致病变异。她的管理因在实现用于治疗目的的酮症和避免可能导致 DKA、脑水肿和其他不良并发症的严重酮症之间的微妙平衡而变得复杂。在她的临床管理中,困难在于酮类预防癫痫发作的治疗效果是引起DKA途径的基础[7]。

对于酮体的产生(无论是为了控制癫痫发作而治疗还是在DKA情况下的病理性),有三种主要机制。首先,减少碳水化合物摄入量和增加脂肪摄入量导致脂肪成为主要燃料来源(即川崎病)。其次,诱导饥饿状态需要利用代谢储存(即脂肪)。第三,胰岛素减少状态导致无法抑制脂肪分解,导致酮的产生。无论酮体产生的机制如何,酮症伴有严重酸中毒可导致严重的临床并发症,包括脑水肿。在开始川崎病时,我们的患者的胰岛素需求非常低,仅为0.1单位/千克/天。鉴于这种低胰岛素需求加上川崎病碳水化合物的必要限制,她被认为有正常血糖 DKA 的风险。此外,治疗性川崎病的开始和维持需要产生酮体,因此需要一定程度的初始酸中毒。

在我们的案例中,在胰岛素减少型糖尿病的情况下启动KD最具挑战性的方面之一是确定安全的生化范围。虽然我们使用DKA的标准碳酸氢盐截止值来设定碳酸氢盐目标,但由于患者独特的生理和病理生理学,目标羟基丁酸水平不太清楚。出于这个原因,我们选择从先前病例报告告知的目标开始。最终,我们发现当患者的毛细血管酮体为≤6mmol/L时,患者是安全的,高于我们对胰岛素减少型糖尿病婴儿的最初预期目标,但这是川崎病的标准范围。我们还证明,尽管使用了胰岛素,可以防止脂肪分解和生酮,但川崎病婴儿可以实现稳态酮症。为了确保安全,我们发现isCGM/CGM和每日两次毛细血管酮监测提供了足够的触发因素来升级护理。

对于这位患者来说,离我们医院的距离是她失代偿发作及时接受护理的主要限制因素,这最终是停止川崎病的原因。她的课程还证明了KD对胰岛素减少型糖尿病患者的预期后果:DKA的阈值要低得多,在胰岛素减少型糖尿病患者开始KD时应认真考虑。从伦理上讲,这是与家人讨论的一个重要问题,特别是考虑到IER31P1突变婴儿的主要发病率和死亡率是呼吸系统疾病和失代偿,DKA可能加剧了呼吸系统疾病和失代偿。

我们报告了一种带有两种新的IER3IP1基因致病变异的先证者,导致MEDS需要在胰岛素减少型糖尿病的情况下使用KD进行治疗。我们发现,尽管使用了胰岛素,但患有川崎病的婴儿仍可以实现稳态酮症。为了确保安全性,我们发现CGM监测高血糖或低血糖,以及每天两次毛细血管酮监测提供了足够的触发因素来升级护理。DKA 的阈值要低得多,在胰岛素减少型糖尿病患者开始川崎病时应认真考虑。应对此进行讨论,并应与家属和医疗团队(包括初级儿科医生)进行预期指导。


文章来源:Zegarra WA, Gallentine WB, Ruzhnikov MR, McAndrews CA, Gloyn AL, Addala A. Safe use of the ketogenic diet in an infant with microcephaly, epilepsy, and diabetes syndrome: a case report. BMC Pediatr. 2023 Sep 9;23(1):453. doi: 10.1186/s12887-023-04272-y. PMID: 37689631; PMCID: PMC10492392.



上一篇:与爱同行,关怀癫痫病患 下一篇:癫痫所致精神障碍的治疗
友情链接:国家卫生健康委 | 梅州市人民政府 | 丰顺县人民政府 | 广东省卫生健康委 | 梅州市卫生健康局 | 丰顺县卫生健康局 | 中山大学 | 广东省精神卫生中心 | 中南大学湘雅二院 | 中南大学湘雅三院 | 汕头大学精神卫生中心 | 北京大学深圳医院 | 湖南省第二人民医院 |
粤公网安备图标粤公网安备 44142302000029号     粤ICP备20046381号
sitemap feed